【技术要点】人防通风口部防护的要求

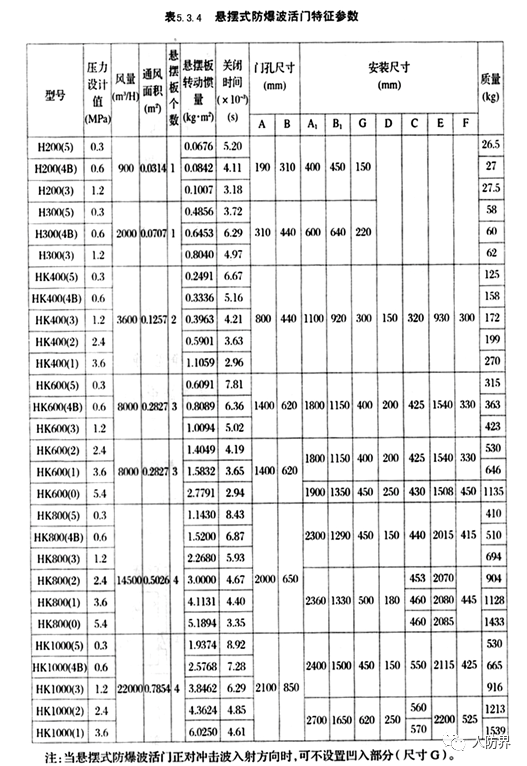
1.悬摆式防爆波活门特征参数
悬摆式防爆波活门(如图5.3.7)特征参数如表5.3.4所示。

2.扩散室基本要求
扩散室是一个体积较大的空间,当冲击波高压气体由扩散室小孔进入扩散室时,由于气体体积迅速膨胀,从而大大减小了气体压力,削弱了冲击波破坏的力量。
扩散室体积大小由计算确定,为了达到较好的消波效果,扩散室内部空间有一定的比例关系,实验证明,如果扩散室的净长度太长,将逐步形成新的冲击波,如果扩散室的净长度太短,高压气流则不能充分扩散。
根据试验,扩散室内各处压力是不同的,在底墙上由于反射,使压力增大,而在距进风口2/3处,压力最小。
由于扩散室的墙体是承受内压的,为改善墙的结构受力,扩散室应尽量垂直于通道布置,这样受冲击波一面面积较小。
(1)扩散室应采用钢筋混凝土整体浇筑,其室内平面宜采用正方形或钜形;
(2)扩散室室内横截面净面积(净宽bs与净高hs之积)不宜小于9倍悬摆活门的通风面积。当有困难时,横截面净面积不得小于7倍悬摆活门的通风面积;
(3)扩散室室内净宽与净高之比(bs/hs)不宜小于0.4,且不宜大于2.5;
(4)扩散室室内净长ls宜满足下式要求: 
(5)当通风管由扩散室侧墙穿入时,通风管的中心线应位于距后墙面的1/3扩散室净长处(图5.3.8a);
(6)当通风管由扩散室后墙穿入时,通风管端部应设置向下的弯头,并使通风管端部的中心线位于距后墙的1/3扩散室净长处(图5.3.8b);
(7)扩散室内应设地漏或集水坑。
3.进风口防堵塞措施
战时有洗消要求的防空地下室,其战时排风口应设在主要出入口,进风口宜在室外单独设置。对于用作二等人员掩蔽部的乙类防空地下室和核5级、核6级、核6B级的甲类防空地下室,
当其室外确无单独设置进风口条件时,其进风口可结合室内出入口设置,但在防爆波活门外侧的上方楼板结构宜按防倒塌设计,或在防爆波活门的外侧采取防堵塞措施(图5.3.9)。
4.通风采光窗的洞口构造要求
当战时采用挡窗板加覆土防护方式时,通风采光窗的洞口构造应符合下列要求:
(1)对砌体外墙,在洞口两侧应设置钢筋混凝土柱,柱上端主筋应伸入顶板,并应满足钢筋锚固长度要求。当采用条形基础时,柱下端应嵌入室内地面以下500mm(图5.3.10a); 当采用钢筋混凝土整体基础时,主筋应伸入底板,并应满足钢筋锚固长度要求;柱断面尺寸不应小于240mm+墙厚;
(2)对砌体外墙,在洞口两侧每300mm高应加3根直径为6mm的拉结钢筋,伸入墙身长度不宜小于500mm,另一端应与柱内钢筋扎结(图5.3.10b);
(3)对钢筋混凝土外墙,在洞口两侧应设置钢筋混凝土柱,柱上、下端主筋应伸入顶、底板,并应满足钢筋锚固长度要求(图5.3.10c),且应在洞口四角各设置2根直径为12mm的斜向构造钢筋,其长度为800mm(图5.3.10d)。
5.各类通风活门安装基本要求
(1)防爆波悬摆活门安装要求:
①活门安装必须牢固,开启方向、位置、标高必须符合设计要求;
②底座与胶板粘贴牢固、平整;
③悬板关闭后底座胶垫贴合严密;
④悬板启闭灵活,能自动开启到限位座;
⑤闭锁定位机构灵活可靠。
(2)胶管活门(KJH)安装要求:
①活口门框与胶板粘贴牢固、平整;
②门扇关闭后与门框贴合严密;
③胶管、卡箍配套保管,直立放置;
④胶管密封保存。
(3)防爆超压排气活门(FCH)、自动排气活门(YF或Ps)安装要求:
①活门开启方向必须朝向排风方向;
②穿墙管法兰和在轴线视线上的杠杆必须铅直;
③活门在设计超压下能自动启闭,关闭后阀盘与密封圈贴合严密。



(4)防爆波悬摆活门和防爆超压排气活门安装的允许偏差应符合表5.3.5的要求。